第20回 「風雲? 北白川城! ―付:ふたたび休載にあたって」 を公開!
人文研探検―新京都学派の履歴書(プロフィール)―| 菊地 暁(KIKUCHI Akira)
   
 
   
 
   
 

「人文研探検―新京都学派の履歴書(プロフィール)―」
第18回

架空編集会議 「人文研探検」のこれまでとこれから

 

 

*架空編集会議

 

編集者H:先生、お邪魔いたします。
著者K:こんにちは。ご足労いただき、ありがとうございました。
H:ところで、どういう風の吹き回しで「架空編集会議」なんですか?
K:うん。こっぱずかしい気がしないでもないのだけど、「座談会」は新京都学派のお家芸ともいうべきスタイルだから、一度くらい自分でやってみるのも必要かな、と思ったんだ。
H:なるほど。最後に座談会を載せてまとめる、という作品が少なくないですよね。
K:そう。たとえば桑原武夫の共同研究なら『ルソー研究』(1951)や『文学理論の研究』(1967)が座談会を載せている。研究会そのものも座談会的だし。「耳学問」とやり玉に挙がったことは桑原自身も指摘している(連載第2回)。
H:そもそも座談会は論壇誌の埋め草として始まったといわれていますよね。それを学術論集に持ち込んだのは、やはり画期的だったのではないでしょうか。新京都学派が最初ではないにせよ、スタイルとして確立させたわけですから。
K:それはありそうだね。しかも、出版社もそれを歓迎した。新京都学派の面々がメディアの寵児だったこともあり、座談会に商品価値があった。そうやって論集を量産できた。近年、学術論集を出版するのにえらく苦労することが多いので、隔世の感というか、うらやましい限りだ。
H:おっしゃる通りですが、そういう愚痴はひとまず置いて、「人文研探検」の話を進めましょう。
K:そうですね。

 

 

*開所記念日の怪

 

H:ところで、「人文研探検」も前身誌『10+1』から数えてちょうど10周年を迎えます。昨年から1年間の休載を経ていよいよリスタートするわけですが、意気込みの程はいかがでしょうか?
K:それがねぇ……。
H:いきなり遠い目にならないで下さい(怒)。
K:いや、もちろんアイデアはあるんだよ。いろいろ。
H:ふーん。たとえば?
K:まず、「人文研は米寿を祝えるか?―あるいは開所記念日の怪―」というネタ。
H:たしかに、1929年設立の東方文化学院京都研究所から数えて今年(2017)は88年目。米寿にあたりますが、でも、昨今の人文学をめぐる惨状を考えると、素直に祝っている場合ではない、というわけですね。
K:それもそうなんだけど。それより、この1929年を起点にする数え方がそもそも正しいのか、という問題がある。
H:と、いいますと。
K:人文研の開所記念行事は11月開催なんだけれど、それは組織の設立ではなく所屋の完成にちなんでいるんだ。東方文化学院京都研究所の設立された1929年4月ではなく、所屋の竣工した1930年11月が起点。この数え方からすると1931年11月が創立1周年で、じっさい、その年に「一周年記念講演会」を実施している。この数え方からすると、今年は87年目で、まだ米寿ではないことになる。
H:なるほど、どこかでズレてしまったというわけか。一体どこでズレたのでしょう?
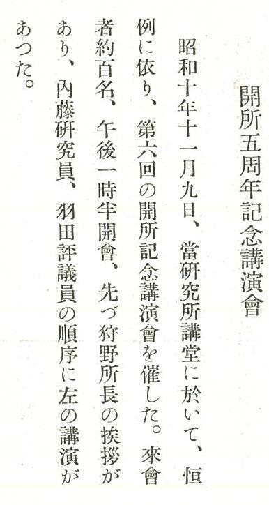
K:これがなかなかややこしくてね。『東方学報』の彙報欄を見ていくと、開所から五年目の1935年までは1930年を起点にしているんだ。1935年にやっているのが「開所五周年記念講演会」[写真1]。それがどういうわけか、翌年の1936年には「開設第八年記念講演会」になっている[写真2]。

 

写真1 昭和10年は開所5周年(1936.11『東方学報』7)

 

写真2 昭和11年は開設第8年(1937.10『東方学報』8)

 

 

H:5の次が8って明らかにおかしいじゃないですか。
K:どう考えてもおかしいよね。1929年の設立から数えて足かけ8年目になることは事実だけれど。しかも、そういう変更を引き起こすような制度的改編も特にない。
H:東方文化研究所への改組は1938年ですからね。何で変わったのかもわからないわけか。で、そのまま現在に至るわけですか?
K:これがもうひとひねりあって。敗戦の年は開所記念行事なし。まあ、終戦後3カ月でそれどころではなかったんだろう。
H:復活するのはいつでしょう?
K:1946年11月には再開される。で、数え方の話に戻すと、この時に、「第十七周年」開所記念講演になっている。所屋完成年ではなく設立年から数えるようになるんだ。でも開催月は11月。そこは変わらない。
H:戦後のドタバタでちゃんと直った、ということなんですね。
K:ただ、創立当初のやり方に則るなら、今年は「87周年」ともいえる。その次の数え方なら「第89年」ともいえる。今年、米寿を祝って良いのかどうか、よく分からなくなるね。幸い、京大人文研で米寿記念行事をしようという話もなさそうなので、全く問題ないのだけれど。
H:なるほど。なかなか興味深い話ではありますね。ですが、連載1回分としてはマニアックすぎて弱いのでは。
K:ダメですか。やはり。

 

 

*多田道太郎と『三高歌集』

 

K:では、「多田道太郎と『三高歌集』―橋ノ上カラ小便スレバ―」なんてのはどうでしょう?
H:多田(1924-2007)の青春時代ということですかね。でもまたどうして『三高歌集』?
K:たまたま古本で手に入ってね。
H:『三高歌集』がですか?
K:いや、多田道太郎の『三高歌集』(1941)が。
H:え? 何? 本当ですか?
K:本当、本当。後ろにちゃんと名前がある。ほら。「三高文丙 多田道太郎」って書いてあるでしょ[写真3]。

 

写真3 多田道太郎旧蔵 三高歌集(1941)

 

H:なんでまたそんなモノが!
K:古本漁りの成果。われながら業が深いと思ったよ。こんなモノが自分の手に入るのか、と。資料というモノは、それを最も強く望む者の前に現れるんだね。
H:どこぞの魔術書じゃあるいまいし(苦笑)。それはいいとして、でもただの歌集でしょ。何か面白いことがあるんですか?
K:書き込みが面白い。
H:ほう、たとえば?
K:たとえば、こんな歌。

 

デカンショ歌ヘバ校長ガオコル
オコル校長ノ子ガ歌ウ
吉田山カラ飛ビ立ツ鳥ハ
鳥ハ鳥デモ天下取リ
三高三高ト威張ルナ三高
三高府一ノ油サシ
府一府一ト威張ルナ府一
府一三高ノケイコ台
橋ノ上カラ小便スレバ
川ノドヂヨウガ瀧上リ[写真4]

写真4 多田道太郎旧蔵 三高歌集(1941)

 

 

 

多田が作ったものか、書き留めたものかは分からないけど、当時の様子が浮かんでくるね。
H:たしかに。連載の初めのほうでも触れられたように[連載第2回]、桑原、貝塚、今西、梅棹といった新京都学派の面々は、みんな府一(京都府立第一中学校)→三高(第三高等学校)→京大(京都帝国大学)というコースを歩んで行くわけですが、その府一生、三高生の含羞あるエリート意識が、よく現れていますね。
K:「橋ノ上カラ小便スレバ」といういかにも男子校なフレーズも、鴨川の荒神橋のことかと思うと味わい深い。荒神橋は近衛通を真っ直ぐ西に進んだところにかかる府一から一番近い橋。
H:荒神橋といえば、今西錦司が通学途中に橋の上から北山を眺めて「北山は罪なるかな」と嘆息した橋ですね。
K:そう。学校サボって山に登りたいという気持ちを「北山の罪」に転化してしまうところが、ずうずうしくも利己的というか文学的で今西的。
H:褒めてるんだか、けなしてるんだか。それはともかく、面白い、そしてレアなことは間違いない材料ですね。ですが、これまた連載一回分としては難しいのでは。
K:うーん。残念。だまされなかったか(笑)。この手の古本ネタはほかにもいろいろあるんだけれど、おかげで研究室が相当ヤバいことになっている。ついでにいうと、古本の腐海に沈んだ資料が出てこなくて、執筆にも支障を来している。
H:ダメじゃないですか!
K:ダメだね。研究者としてというか、人としていけないと思う。

 

 

*反響のようなもの

 

H:いろいろと行き詰まっておられるようですので、矛先を変えてみます。本連載の手応えというか反響をどのようにお考えでしょうか?
K:これが皆目よく分からない! この間、本連載について2回ほど新聞の取材を受けたし、慈悲深い友人たちは「いつ本になるんですか?」と聞いてくれるので、まるっきり空振りではないと思うのだけれど、正直、「新京都学派」というテーマが現代の読書人にどの程度関心を持たれているのか、いまひとつ実感できずにいる。
H:でも、新京都学派をテーマにした新書も出ていますしね。本連載の担当編集者としては書籍化で先を越されたというか、先生がキチンと書き進めておられたならばこんなことにはならなかったのに、と忸怩たる思いなのですが。
K:ワタクシめの遅筆についてはお詫びの言葉もございません。とはいえ、類書があるものの、視角が同じというわけでもなさそうなので、やりようはあると思っている。で、そこで視角にエッジをつけようとすると、さらにマニアックになって手間暇もかかってしまう、という悪循環が……。
H:「だから、遅過ぎたといってるんだ(怒)」。
K:落ち着いて下さい。近年、戦後知識人の再検討もいろいろと進められているんだから、『桑原武夫』なんていう新書が出てもおかしくはないと思うのだけれど、なぜか出ない。桑原で儲けたはずの出版社からもそんな話がない。
H:いきなり角の立つ話をしないで下さい。それはともかく、先生が曲がりなりにも前向きに取り組んでおられるということだけは了解します。
K:読者の反応に話を戻すと、連載が御縁になったことは、いくつかありました。前回(第17回)の「華北交通写真」論で触れた水野清一先生のお孫さんについてもそうですし、華北交通社員の子弟からは多くの御教示を賜ることになり、そちらのプロジェクトも引き続き進行中です。ただ、「人文研探検」からどんどん遠ざかってしまうのですが。
H:うーん。担当編集者的には喜ぶべきか迷うところ。
K:研究者としては嬉しいところですね。あと、本連載で『北白川こども風土記』を取り上げたこと(第15回)が御縁になって、風土記の著者のお一人、藤岡換太郎先生からお手紙を頂戴したのも、ありがたい御縁でした。連載でも触れた通り、小学6年生で北白川の地質について書いた藤岡少年は、その後、本当に地質学者になったわけですが、その藤岡先生が、60年前に書いた『北白川こども風土記』を増補改訂したいとのお考えで、最近、北白川を精力的に調査されていて、私も時々ご一緒させていただいております[写真5]。

 

写真5 白川流域を探索する藤岡換太郎先生

 

 

H:まさしく御縁ですね。
K:うん。『北白川こども風土記』については友人たちとトークイベントも開催しましたし(参考)、想像以上に大きな広がりがあり、きちんと戦後の思想文化史上に位置付けなければと考えております。その一端は近々刊行される予定です(拙稿「いくつかの〈こども風土記〉―宝塚・大東亜・北白川―」大塚英志編『動員のメディアミックス』思文閣出版、掲載予定)。ただ、このプロジェクトも進めば進むほど「人文研探検」からは遠ざかっていきます。
H:うーん。担当編集者的にはビミョーなところ。
K:申し訳ない。根が浮気性というか、好奇心の赴くままに進みたいほうなので。まあ、そんなんだから、「人文研探検」などという無謀なテーマに手をつけてしまったわけでもあるのだけれど。そんなわけで、連載への反響はささやかなものではありますが、それに勇気づけられ、頑張っているところです。
H:どこぞの少年誌みたいですが、「先生に励ましのお便りを!」ということですね。

 

 

*「人文研探検」のこれから

 

H:ところで、そろそろ根本的なツッコミに移りたいと思うのですが、この連載、これからどう展開させていくおつもりでしょうか? 何かビジョンはあるのでしょうか?
K:痛いところを突いてきますね。さすが優秀な編集者! たしかに、最初に桑原武夫論を集中的に取り上げたのは良いとして、そこからの迷走ぶりというか紆余曲折ぶりはいかがなものかという気もする。計画性の欠如を指摘されるのも無理ないと思います。我ながら。ですが、何をやりたいかという目論見は、じつはすでに提示してあるんですよ。
H:ほう、どのような?
K:以前、『kotoba』13号(2013年9月)に書いた「新京都学派=京大人文研のユニークさを「新書」から読み解く」のなかで、新京都学派のユニークネスを、@共同研究、Aフィールドワーク、B東洋学、C大衆文化論、Dプラグマティズム(あるいは実験精神)の5点に整理してみたんだ。短い論考だけど、見取り図としてはこれで良いと思っていて、これを肉付けしていく作業が本連載というつもりでいる。
H:なるほど、クリアで分かりやすい!
K:ちなみに、その記事で紹介した新書は次の5冊。
@桑原武夫編『ルソー』(1962)
A今西錦司『人間以前の社会』(1951)
B三好達治・吉川幸次郎『新唐詩選』(1952)
C加藤秀俊『見世物からテレビへ』(1965)
D梅棹忠夫『知的生産の技術』(1969)
特に意図したわけではないのですが、結果的に全部岩波新書になりました。
H:興味深いラインナップ! 新書論は旧連載でも取り上げておられましたしね(旧連載第3回)。というわけで、今後の肉付けが楽しみです!
K:そう。それがねぇ……。
H:また遠い目にならないで下さい(怒)。
K:課題の見通しはついているのだけど、なかなか勉強が追いつかない。もとより、初めから蛮勇に蛮勇を重ね、生兵法を顧みずに続けている連載ではあるのだけれど。それにしても、東洋学プロパーが我ながら手薄というか、どうしても民俗学、フィールドワーク、日本近代史という分野に偏ってしまう。ただ、我が身の浅学非才を棚上げするにしても、日本の東洋学に対する再検討は、オリエンタリズム批判というかポストコロニアル批評はあるにはあるのだけれど、どこか表層的というか、西洋―日本―東洋の三角形をめぐる図式的な批判は割合簡単に導き出せるぶん、学問的実践の根幹に迫るような実証的批判はきちんとなされていない、という印象を持っています。
H:たしかにそうかもしれませんね。だからといって、先生が逃げていい理由にはなりませんよ。
K:逃げちゃダメか(苦笑)。キチンと釘を刺してくるところがさすが! とはいえ、この方面はどなたかご専門の方にやっていただきたいという気持ちはハンパないです。
H:乗りかかった船ですので、ご自身で対処してください。
K:仕方ないですね。まあ、相対的に手を着けやすいところから、少しずつ潰していきたいと思います。遅々たる歩みではありますが、前は向いております。
H:仕方ないですね。再スタート、よろしくお願いします。個人的には、新京都学派の「編集術」というテーマを手がけていただきたい所存です。
K:了解。それは重要ですよね。ゆるゆる、ぼちぼち、取り組みます。というわけで、10年後の連載20年には再び「架空編集会議」を開催しますので、それまでよろしくお願いします。
H:まだひっぱる気ですか(激怒)。
(終)

 


 
     
 
本書の詳細
   
   
 

 桑原武夫、貝塚茂樹、今西錦司、梅棹忠夫ら、独自の作法で戦後の論壇・アカデミズムに異彩を放った研究者たち。新京都学派と呼ばれた彼らの拠点こそ、京都大学人文科学研究所(人文研)でした。気鋭の民俗学者が人文研の歴史に深く分け入り、京都盆地の、そしてそこから世界に広がる知のエコロジーを読み解きます。
 伝説的な雑誌『10+1』INAX出版)誌上で始められ、その休刊とともに中断していた連載を、ここに再開します。屈曲蛇行する探検の道のりに、どうぞお付き合いください。

   
 
   
著者・訳者略歴
#
#
 

菊地 暁
(KIKUCHI Akira)

京都大学人文科学研究所助教、文学博士。民俗学専攻。
〔著書〕 2001『柳田国男と民俗学の近代―奥能登のアエノコトの二十世紀―』吉川弘文館、2005(編)『身体論のすすめ』丸善。
〔論文〕2012「〈ことばの聖〉二人―新村出と柳田国男―」(横山俊夫編『ことばの力―あらたな文明を求めて―』京都大学学術出版会)、 2010「智城の事情―近代日本仏教と植民地朝鮮人類学―」 (坂野徹・愼蒼健編『帝国の視角/死角 〈昭和期〉日本の知とメディア』青弓社)、2008「京大国史の「民俗学」時代―西田直二郎、その〈文化史学〉の魅力と無力―」(丸山宏・伊従勉・高木博志編『近代京都研究』思文閣出版)、2004「距離感―民俗写真家・芳賀日出男の軌跡と方法―」(『人文学報』91)など(詳しくは、ここを参照)。

参考情報:「INAX出版」ウェブサイトはこちら

#

#

 

 
ページトップへ
Copyright (C)2004-2026 Keio University Press Inc. All rights reserved.